培养动态

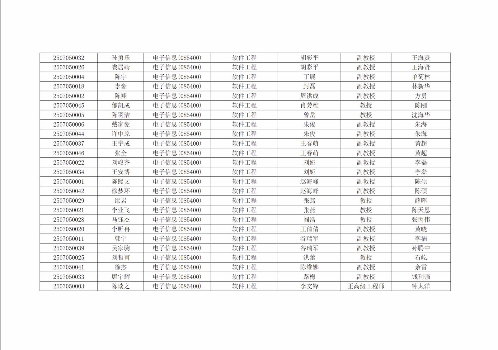
2025年电子信息专业硕士研究生与导师互选情况汇总表

供稿: | 发表日期:2025-07-22 | 点击数:

2025年电子信息专业硕士研究生与导师互选情况汇总表如下所示。

公示期为2025年7月22日至24日,如有异议,请以书面方式向电子信息研究生教育发展中心反映。联系人:李文锋,联系电话:86188107。

打印责任编辑:网安学院

COPYRIGHT©太阳集团(tcy8722·CHN认证)官方网站-SunCityGroup 版权所有